【机情无限 精彩毕设】机械2025届毕业设计(论文)中期检查优秀案例分享第三十六期——地铁车辆车轮踏面磨耗型面匹配设计及剥离特性研究
学生姓名:王灿
班 级:车辆2021-02班
指导教师:方修洋
毕设题目:地铁车辆车轮踏面磨耗型面匹配设计及剥离特性研究

一、概况
1.选题意义
随着中国城轨交通建成地铁线路数量与长度的增加,地铁配置车辆数量也在逐年增长。我国城市地铁运营线路配属车辆数由2018年的5084辆增长至2020年的7424辆,增长幅度达46.03%,地铁车辆发展十分迅速,
然而,随着客运高速化以及货运重载化的不断推进,车轮与轨道之间的摩擦和冲击载荷也不断加剧,导致车轮滚动接触疲劳损伤问题变得越来越突出。地铁车辆车轮在复杂工况蠕滑力及垂向横向载荷作用下产生剧烈的损伤,常常会萌生出一定尺寸的裂纹,这些损伤裂纹有进一步向车轮次表面扩展导致车轮踏面剥离的可能性。虽然车轮表面的裂纹可以通过一定的磨耗量予以消除,但是,位于亚表面的裂纹,在外载荷的作用下会持续的扩展,导致车轮整体出现失效,从而导致极大的安全隐患。例如1998年6月3日,德国Eschelde附近发生了ICE-1高速列车灾难性事故,造成101人死亡。该列车使用的橡胶弹性车轮,主要因轮箍表面裂纹的原因,在列车高速运行产生的巨大动力负荷下,轮箍断裂,从而导致悲剧的发生。
此项研究,对城轨车辆车轮在不同服役里程下轮轨接触踏面产生的磨耗,不同磨耗型面匹配车轮滚动接触疲劳裂纹扩展的能力的评估关乎车轮合理维修方案的设计与制定。这对于预防车轮疲劳失效,优化车轮设计,保障行车安全具有重要意义。
2.任务分解
图1 任务书任务分解
二、已完成工作
1.外文文献翻译,了解国内外研究现状
已完成近1万字的文献翻译:
图2 文献翻译
2.精读相关文献,确定研究路径与方法
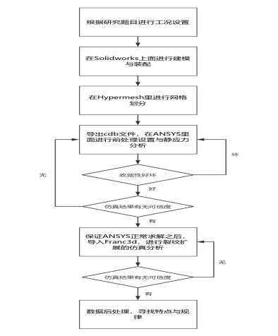
精读类似相关文献,找到本研究题目的研究路径与方法。
图 3 研究路线与流程
3.模型的仿真计算
(1)在SOLIDWORKS上进行不同型号的车轮踏面及钢轨的建模,完成它们之间的装配。在本研究中,采用锥形踏面、LM型踏面、LMA型踏面分别与50钢轨、60钢轨进行轮轨匹配,一共6种匹配方式。在装配过程中,需考虑1:40的轨底坡。
图 4 轮轨建模与装配
(2)因为Hypermesh出众的网格划分能力,同时为了兼顾求解精度与效率。根据圣维南原理,在Hypermesh中,对轮轨接触部分网格采取细化,而对于其余部分网格粗化。具体步骤为:选取车轮截面,在车轮接触点为中心,根据接触钢轨横截面的情况,向车轮内外侧扩展一定距离,向车轮径向扩展24mm。此处区域网格尺寸为1.5×1.5mm的面网格。车轮横截面其他区域,则逐步扩大网格尺寸,依次为1.5、3、5、10。最后,以车轴为旋转中心,进行旋转,得到实体网格。钢轨的网格划分方法类似。

(a)整体模型 (b)局部细节
图 5 轮轨接触有限元模型
(3)导入ANSYS当中进行前处理。对于钢轨,对钢轨底面进行全约束,两侧面对称约束。对于车轮,采用主从节点耦合的方式,控制轮毂孔内表面的节点自由度,对于约束车轮中心主节点X、Z方向平动位移,Y、Z方向转动位移,轴重施加在远程点上;除此而外,还应完成材料属性定义、接触设置、分析设置等一系列前处理操作。最后并得到仿真结果,并对ANSYS仿真数据后处理。
图 6 ANSYS静应力仿真结果


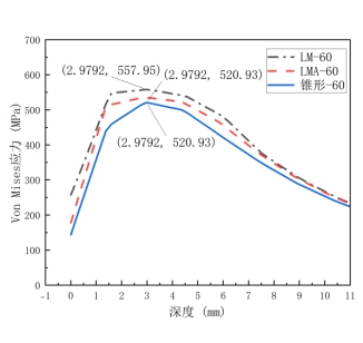
图 7 Von Mises应力沿钢轨踏面深度分布
(4)导入Franc3d,根据事先的工况设置,引入对应裂纹,进行裂纹扩展分析与仿真。
在断裂力学当中,我们通常使用应力强度因子来量化裂纹尖端的应力场强度,并根据裂纹类型(张开型裂纹、划开型裂纹、撕开型裂纹)的不同,分为了KI、KII、KIII三种类型。而等效强度因子ΔKeq,是综合KI、KII、KIII等效出来的反应裂纹扩展的驱动力。
以下为部分裂纹扩展仿真结果展示:


图 8 应力强度因子在裂纹归一化距离的分布

图 9 裂纹扩展云图与裂纹扩展量
三、下一步工作计划
1.完成剩余的仿真任务,并调试结果,让仿真结果准确可靠。(4月20日之前完成)
2.完成不同磨耗量的车轮与典型钢轨型面匹配设计的图纸绘制。(5月1日之前完成)
3.整理仿真数据,完成毕业论文。(4月20日~5月15日)
4.修改论文准备结题答辩。(5月15日~5月30日)
问题一:你在最后介绍了你仿真过程中遇到的难题是模型计算的收敛性不强,请问你是采取了一些什么样的方式,来提高模型计算效率的?
回答:目前我想到的一些措施有:保证精度情况下适当减少网格数量,能够节约计算时间;轮轨之间间隔保证在大概
左右,收敛性往往比较好;摩擦系数的大小需要合适;载荷步设置要尽量少等等在Franc3d当中,一般我就是让子模型小一点,这样会计算得更快。
问题二:你在未来规划这一部分提到,你还需要检查仿真结果数据的可靠性,是为什么?
回答:主要是在Franc3d当中,仿真出来的结果当中,KI竟然会有正值。因为KI是代表张开型裂纹,而对于我这个模型当中,两个接触面之间必定是相互挤压的,裂纹应该是闭合而非张开,所以结果应该全部为负值。后面,我会检查一下裂纹位置是否正确,还有就是ANSYS与Franc3d之间是否存在兼容的问题。
在本次研究题目当中,我学习了很多有用的实操技能,使用Hypermesh对模型进行网格划分与处理,利用ANSYS workbench和ANSYS APDL工具进行轮轨接触应力的计算,使用Franc3d进行裂纹扩展的仿真分析,这对于我今后的工作以及学习有着巨大的帮助;同时,也学习了断裂力学的一些基础知识,这是一门在本科阶段,几乎没有涉足的一个领域,拓展了我的知识面;在过程当中,也遇到了许许多多的问题,在每次出现问题之后,最后回过头寻找问题,并最终解决的过程,让我感到很快乐。同时也提高了今后,我独立解决问题的能力。
在整个过程当中,遇到了许许多多的困难。感谢同学,学长以及老师为我提供的帮助。能够让我快速理清思路,对本研究有较为深刻的理解,以及在每次遇到困难时候,与同伴之间的讨论,会经常让人豁然开朗,一下子找到问题所在,并最终得到解决。
但我深知自己在项目当中还存在许多的不足,例如,目前的仿真是基于已有型号的踏面及钢轨的匹配,但是否能设计一种目前没有的踏面形状进行设计呢?此问题我并没有进行深入的探讨。在今后的学习当中,我会更加努力,来提高自己的研究能力。