【机情无限 精彩毕设】机械2023届毕业设计(论文)中期检查优秀案例分享第七期——涡轮叶片工艺过程数字孪生信息模型构建

学生姓名:樊昱豪
班 级:机械2019-03班
指导教师:马术文
毕设题目:涡轮叶片工艺过程数字孪生信息模型构建


一、概况
1.选题意义
现今,全球正经历着前所未有的变化和危机,这使得各行业都急需进行转型和升级。数字化转型和智能化升级已成为实现巨大发展潜力的关键因素,受到世界各国对未来发展的广泛认可。在中国,党提出了“制造强国”和“加快数字经济发展”的目标,旨在推动互联网、大数据、人工智能与实体经济深度融合,以推进产业升级。在这样的环境下,数字孪生应运而生,并成为了应对当前世界变局的重要手段。数字孪生通过与各行各业的深度融合,能够有效地促进各行业的数字化和智能化发展。因此,数字孪生正受到广泛关注,成为许多企业布局的新方向,其未来的应用发展前景非常广阔。作为引领未来的热门技术之一,数字孪生正从理论走向实际应用阶段,助力产业变革迈出坚实的一步。
数字孪生技术通过记录、模拟和预测物理实体和虚拟世界中的各种过程,可以帮助实现信息高效交换、资源优化分配、成本降低以及致命事故的预防。其中,物理实体是存在于特定场所中的实体,它们能够自我运作并提供针对性的服务。其中,数字孪生技术的一大重要分类就是实体数字孪生。这种数字孪生基于3D几何模型,并能够收集不同类型的信息,包括监控信息、感测信息、服务信息以及相关的物理行为信息等。数字孪生技术可跟踪实体的整个生命周期,从而实现产品优化设计、缩短加工周期、模拟仿真与实时监控等多种功能。实体数字孪生的核心思想是将物理实体与其完全相同的虚拟双胞胎进行匹配,这样一来就可以在虚拟环境中对实体进行测试、调优、甚至是预测未来的运行情况。这种数字孪生技术可以帮助企业快速响应市场需求,提高产品质量和生产效率,进而实现更好的商业竞争力。
航空发动机中涡轮叶片是至关重要的部件之一,近年来科学界也将其视为研究的重点之一。随着叶片工作环境的日益恶劣,对涡轮叶片工作性能的要求也在不断提高。因此,涡轮叶片的设计一直是航空领域的一个焦点。然而,叶片设计需要考虑的因素很多,这增加了设计的难度。传统的涡轮叶片生产过程从设计到加工周期非常长,面临着较大的困难。为了解决这个问题,必须建立一个综合考虑数学信息建模和数控加工等方面的数字孪生模型,以便于实现虚实交互,并在基于该模型结构的基础上进行后续的生产。数字孪生技术为涡轮叶片的生产和设计带来了新的思路和方法。数字孪生技术可以帮助企业快速开展产品设计和制造,同时也可以优化涡轮叶片的性能,提高生产效率和质量。此外,数字孪生还可以在设计阶段对叶片进行仿真测试,从而减少试错次数,进一步提高设计效率。
2.任务分解
本文将描述一份共13周的设计计划,包括以下步骤:
(1)分析数字孪生的基本概念和原理 (1周)
通过搜索相关文献了解数字孪生的起源及内涵、学术研究现状、工业应用及其相关应用案例,确保对数字孪生的正确理解以及数字孪生对于涡轮叶片的正确应用。
(2)设计涡轮叶片的整体参数化数字模型(3周)
建立涡轮叶片的整体参数化方程,通过有限参数控制叶片结构模型,根据其结构特点建立其结构轮廓线方程,在给定具体参数值后,运用MATLAB编程求解获得叶片任意截面轮廓线具体方程,然后根据方程求解获得叶片表面任一点的精准坐标值,即获得叶片点云集模型。
西北工业大学的韩永志等在进行涡轮叶片多学科优化研究时,采用五次多项式曲线建立叶片轮廓线模型;高行山等采用同样的叶片造型方法运用到了涡轮叶片的优化设计中;李磊等基于参数把型线整体分成七段,采用五次多项式与三次多项式结合的方式构建轮廓曲线。
要求:(1)运用较少参数建立多项式方程表达叶身模型;(2)可以求出叶身任意截面轮廓线的具体方程;(3)可以求解得到叶身表面任意点的精准坐标。
(3)进行涡轮叶片零件建模 (1周)
设置基础参数,将叶片点云集模型计算数据导入CAD/UG进行三维建模或者通过SOLIDWORKS进行直接建模,是信息模型结果充分可视化。
(4)分析数控加工工艺过程 (3周)
制定合理的加工工艺流程,在加工叶片模型时首先选用合适的机床型号,根据零件结构特点,选用合适的加工刀具,指定加工工序步骤,然后制定加工的装夹方案。将通过己建立的叶片参数方程,根据相应的坐标变换,求解得到叶片数控加工坐标点,从而手动快速编写出叶片的数控加工程序,使用VERICUT软件对数控程序进行刀路仿真模拟。
要求:叶片加工代码的编写,主要是把刀具接触点(CC)转化为刀位点(CL)的过程。
(5)构建叶片零件的数控加工工艺过程的数字孪生信息模型 (3周)
将己建立的叶片参数方程和转换坐标方程导入MATLAB中构成整体程序,提取叶片数控加工程序中的非参数化部分,将参数化部分与第二部分所建立的叶片点云集模型的变量相关联,使MATLAB最终程序显示结果为完整的数控加工程序。同时,搭建交互平台,实习现实与虚拟的实时交互,通过控制面板来达到监控涡轮叶片加工的主要目的。
(6)毕业论文的撰写 (2周)
要求:注意格式规范。
二、已完成工作
本文已完成情况如下:
(一)分析数字孪生的基本概念和原理,撰写绪论部分。
通过搜索相关文献了解数字孪生的起源及内涵、学术研究现状、工业应用及其相关应用案例,确保对数字孪生的正确理解以及数字孪生对于涡轮叶片的正确应用。并且根据所查阅的文献内容,撰写了毕业论文的绪论部分。
(二)设计涡轮叶片的整体参数化数字模型,获得叶片点云集。
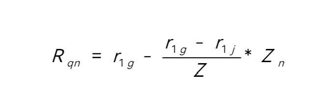
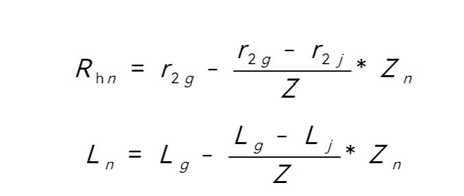
通过叶片轮廓截面的结构几何关系式构建了涡轮叶片的叶型线参数方程,叶型线的参数模型图如下图所示:

并在Matlab中对其进行设计与计算,最终使涡轮叶片轮廓线实现了可视化,其结果如下图所示:

然后对于积叠线进行参数化表达,结合叶型截面轮廓线建立整体参数模型,运用MATLAB编程求解获得叶片任意截面轮廓线具体方程,然后根据方程求解获得叶片表面任一点的精准坐标值,即获得叶片点云集模型。积叠线参数表达式如下:


以下是部分数据展示:

其中在进行叶盆线和叶背线参数模型构建的时候,参考了西北工业大学的韩永志老师五次多项式曲线建立叶片轮廓线模型法。

(三)利用Matlab进行涡轮叶片零件建模,实现平滑建模
采用整体参数法建立模型,首先运用MATLAB对模型参数方程进行整理编程,求解得到叶片表面点云集,根据整体参数化方法进行求解,得到叶片的点云集分成四个部分,即叶背、叶盆、前缘、后缘。设置基础参数,将叶片点云集模型计算数据导入SOLIDWORKS中进行建模,将信息模型结果充分可视化。


(四)分析数控加工工艺过程,为数控加工坐标点的坐标转换做准备
制定合理的加工工艺流程,在加工叶片模型时首先选用合适的机床型号,对机床模型建模,为后续工作做准备。根据零件结构特点,选用合适的加工刀具,指定加工工序步骤,然后制定加工的装夹方案。

(五)德阳东汽公司实地调研
近距离观察涡轮叶片的加工过程,参观涡轮叶片的黑灯工厂,使从文献阅读到的内容更加具体化。


(六)了解并学习数据模型的构建,完成数据模型部分论文的撰写
阅读相关文献,了解HNC-8数控系统的二次开发指令,通过通信连接机制、实时数据采集以及机床数据存储构建数据模型。完成了数据模型部分的论文撰写。
(七)完成翻译英文文献
三、下一步工作计划
结合存在问题,本文未来工作方向安排如下:
1.完成叶片数控加工坐标点的坐标系转换 (1周)
将通过己建立的叶片参数方程,根据相应的坐标变换,求解得到叶片数控加工坐标点,从而手动快速编写出叶片的数控加工程序,使用VERICUT软件对数控程序进行刀路仿真模拟。
要求:叶片加工代码的编写,主要是把刀具接触点(CC)转化为刀位点(CL)的过程。
2.构建叶片零件的数控加工工艺过程的数字孪生信息模型 (3周)
将己建立的叶片参数方程和转换坐标方程导入MATLAB中构成整体程序,提取叶片数控加工程序中的非参数化部分,将参数化部分与第二部分所建立的叶片点云集模型的变量相关联,使MATLAB最终程序显示结果为完整的数控加工程序。同时,搭建交互平台,实习现实与虚拟的实时交互,通过控制面板来达到监控涡轮叶片加工的主要目的。
3.毕业论文的撰写 (2周)
要求:注意格式规范。

问题一:如何体现加工工艺过程的数字孪生?
回答:从以下三个方向:1.体现整个加工工序的连续,例如:通过构建的信息模型可以快速生成数控加工程序的代码,将其导入UG进行路径仿真,可以得到一次由实际参数到虚拟模拟的交互,方便我们快速建立涡轮叶片的加工模型和观察加工过程。2.体现一个加工工序的调整,在实际加工过程中,将收集器采集的数据与我们所生成的标准数控代码进行比较,如果出现差异,系统进入调整措施。3.交互界面,通过交互界面,用户可以输入涡轮叶片的相关参数,系统将返回涡轮叶片加工成型后的实际模型的各个坐标以及刀位点和一整段成型的标准数控加工代码,用户可以调用各个截面的轮廓图进行观察,同时可以将坐标点导入solid works进行三维建模,同时还应设有一个与实时加工状态相交互的窗口。
问题二:数据采集是如何实现的
回答:通过HNC-8数控系统进行二次开发来实现数据的实时收集与通信,此处会在论文中具体介绍展开,但是最后成果展示的时候因为条件限制,会针对几个具体情况进行针对性仿真。

在这次半期的毕业设计答辩过程中,关于数字孪生的数控加工工艺认识还不够清晰明确,虚实交互方式需要进一步强化,不能盲目前进,要合理参考相关文献,和指导老师积极交流问题。此外,关于数据采集方面和交互界面构造应该进一步思考和完善。但即便是有着诸多不足,我回首望去整个研究探索过程,仍可以深深切切地感受到当初初次接触数字孪生的快乐,在不断地学习Matlab的同时,对数字孪生的奇妙以及其可以在涡轮叶片加工共过程的无限可能越发地感到无比震撼。只是可惜自己的能力有限,心中的许多奇思妙想难以实现。